خاتمه:
صحت یا فساد عبادت در «جایی که عبادت با حرامی منطبق شده است که به صورت اختیاری مورد اضطرار واقع شده است»
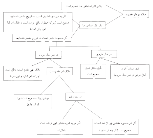
مرحوم آخوند درباره این مسئله می نویسد:
«ثم لا يخفى إنّه لا إشكال في صحة الصلاة مطلقاً في الدار المغصوبة على القول بالاجتماع ، وأما على القول بالامتناع ، فكذلك ، مع الاضطرار إلى الغصب ، لا بسوء الاختيار أو معه ولكنها وقعت في حال الخروج ، على القول بكونه مأموراً به بدون إجراء حكم المعصية عليه ، أو مع غلبة ملاك الأمر على النهي مع ضيق الوقت ، امّا مع السعة فالصحة وعدمها مبنيان على عدم اقتضاء الأمر بالشيء للنهي عن الضد واقتضائه ، فإن الصلاة في الدار المغصوبة ، وأنّ كانت مصلحتها غالبة على ما فيها من المفسدة ، إلّا إنّه لا شبهة في أن الصلاة في غيرها تضادّها، بناءً على إنّه لا يبقي مجال مع إحداهما للاخرى ، مع كونها أهمّ منها ، لخلوها من المنقصة الناشئة من قبل اتحادها مع الغصب ، لكنه عرفت عدم الاقتضاء بما لا مزيد عليه ، فالصلاة في الغصب اختياراً في سعة الوقت صحيحة ، وأنّ لم تكن مأموراً بها.»[1]
ما میگوییم:
- ماحصل فرمایش مرحوم آخوند چنین است: (البته در عبارت مرحوم آخوند، فرض «غیر حال خروج» مطرح نیست و ما آن را اضافه کردیم)

- امام درباره این بحث می فرمایند:
« و أمّا الوضعيّ- أي صحّة الصلاة حال الخروج- فقد تقدّم شطر من الكلام فيه في الصلاة في الدار المغصوبة، و شطر منه مربوط بالفقه، و هو حال الصلاة في ضيق الوقت و كيفيّتها.»[2]
- پس می توان گفت که هر مسئله فقهی احکام خاص به خود را دارد که ممکن است با مسئله دیگر فرق داشته باشد. البته بحث از نظر مباحث اصولی همان است که گفته شده است.
[1] . کفایة الاصول، ص174
[2] . مناهج الوصول، ج2، ص147