هفده) موضوع شناسی:
- از مهمترین کارهای فقیه، شناخت موضوع حکم است.
توجه شود که گاه در السنه عامه شایع شده است که تعیین موضوع شأن فقیه نیست، در حالیکه این کلام غلط است، چرا که آنچه گاه شأن فقیه نیست تعیین مصداق است (که البته آن هم گاه شأن فقیه است مثل اینکه تعیین مصداق محرمات در جملهی «توبه از محرمات، واجب است» شأن انحصاری فقیه است، و یا در قضیه «شرط حرام، حرام است» تعیین مصداق شأن فقیه است)
ولی درباره موضوع، باید گفت تعیین موضوع حکم شرعی وظیفه انحصاری فقیه و مجتهد است. چرا که مجتهد تا نداند که درباره چه چیزی سخن می گوید نمی تواند حکم را بر آن قرار دهد.
توجه شود که اگر کسی روایتی را نقل می کند که در آن موضوعی هست که معنای آن را نمی دانیم، این صرفاً نقل روایت است و اجتهاد نیست.
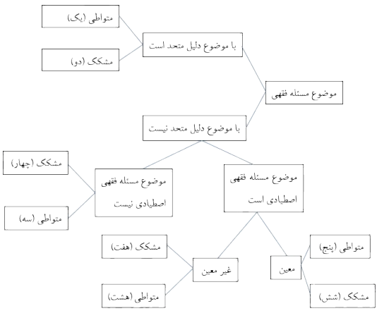
- قضیه ای که فقیه به عنوان بیان حکم شرعی مطرح می کند، دارای موضوع است.
گاه این موضوع دقیقاً همان است که در لسان روایات مورد اشاره است و با همین عنوان حکم آن در دلیل، بیان شده است. (مثلاً وقتی می گوییم «آب پاک است» این عین متن روایت است.)
ولی گاه آنچه موضوع قضیهی مجتهد واقع شده است، عیناً در ادله شرعی موضوع نبوده است (مثلاً اگر مجتهد می گوید: «عقد بیمه لازم است»، عنوان بیمه در روایات نیست و مجتهد آن را از دلیل عام «اوفوا بالعقود» استفاده کرده است.)
- اگر موضوع قضیه مجتهد، با موضوع دلیل متحد نیست، خود به دو صورت است:
گاه آنچه به عنوان موضوع مسئله فقهی مطرح می شود، مصداق عنوان موضوع دلیل است (مثل بیمه برای اوفوا بالعقود) و گاه موضوع مسئله فقهی، مصداق موضوع دلیلی خاص نیست، بلکه از مجموع ادلهای معین، چنین موضوعی اصطیاد شده است.
اگر موضوع اصطیادی نیست، گاه مشکک است و گاه متواطی است.
اگر موضوع اصطیادی است، گاه فقیه لفظی و عنوانی را می یابد که با آن از مفهوم اصطیاد شده حکایت کند و گاه لفظی را پیدا نمی کند و صرفاً می تواند مصداق هایی را معلوم کند. در این دو صورت هم گاه این مفهوم متواطی است و گاه مشکک است.

یک) مثل اینکه فرموده است «الماء کلّه طاهر». در این موارد، مجتهد اگر توانست صحّت دلیل و نبود معارض و مخصّص و مقیّد را احراز کند، صرفاً همان دلیل را به عنوان مسئله فقهی اعلام می دارد. ولی اگر مخصّص یا مقیدی یافت شد، بعد از تخصیص یا تقیید، آن حکم را همراه با آن موضوع مخصَّص و مقیّد ارائه میدهد.
و حتی اگر توانست احراز کند که تخصیص و تقییدی در کار نیست، ممکن است بتوان گفت که مجتهد لازم نیست، معنای موضوع را هم بداند و مصادیق آن را تشخیص دهد. (مثلاً اگر معنای حبّه سوداء معلوم نیست ولی پیامبر أکل آن را توصیه کرده است، مجتهد میتواند حکم به استحباب أکل حبّه سوداء کند)
دو) مثل اینکه شارع فرموده است «ضرر زدن به بدن حرام است». در این صورت «ضرر» یک مفهوم مشکک است و یا: «کل مسکر حرام».
حال اگر می دانیم که تمام مراتب اسکار حرام است، این همانند قسم قبل است
ولی اگر تمام مراتب موضوع را محکوم به حکم ندانستیم (مثل اینکه بگوییم هر مرتبه از مراتب ضرر به بدن حرام نیست) در این صورت، فهم و تعیین آن میزان و مرتبه موضوع که حکم بر آن صادق است، برای تعیین موضوع حکم شرعی، لازم است و فقیه باید بتواند با قرائن مختلف و تناسب حکم و موضوع و یا آنچه ذوق فقاهت می خوانند که از شناختن کل قواعد و مسائل و مقاصد فقه و درک صحیح از ذائقه شارع حاصل می شود، آن مرتبه را معلوم کند.
این قسمت از موضوعات، خواه ریاضی باشد و خواه طبّی و خواه از سایر علوم، باید کاملاً مورد شناخت فقیه قرار گیرد.
به عنوان مثال اگر «قَرَن» را بیماری تشکیکی دانستیم و یا «مبطون» و «مستحاضه» و … را چنین دانستیم، فقیه نمیتواند بدون شناخت موضوع که محتاج اطلاعات طبّی است حکم را در مرتبهای خاص از آن موضوع جاری بداند.
سه) مثل اینکه ما می خواهیم حکم نجاست الکل صنعتی را به دست آوریم. روشن است که الکل صنعتی یک مفهوم متواطی است. ولی این عنوان در لسان هیچ دلیلی مطرح نشده است.
در این موارد فقیه نمی تواند جز با شناخت عناوین کلی و همچنین با شناختن موردی خاص به عنوان مصداق آن عنوان، حکم آن مورد را معلوم کند. (و مثلاً بگوید که این از اقسام مسکر است پس نجس است)
در مورد چنین موضوعاتی است که گفته میشود، شأن فقیه دخالت در مصداق نیست و فقیه صرفاً باید بگوید «مسکر نجس است» و مردم خود باید به مصداق بودن یا نبودن آن پی ببرند.
اما مشکل اصلی آنجاست که بسیاری از موارد جدید، به گونهای است که مردم نمی توانند بدون کمک فقیه بفهمند که این مصداق از زمره کدام عنوان کلی است و جزئیات آن چه حکمی دارد. مثلاً مباحث بیمه، سرقفلی، سفته، قراردادهای جدید بانکی.
چهار) مثل اینکه ما می خواهیم حکم سیگار کشیدن را به دست آوریم. این عمل در روایات مورد اشاره نیست و اگر فقیه بخواهد آن را تحت حکم کلی «ضرر زدن به بدن حرام است» قرار دهد، (که این عنوان در روایات هست) ابتدا خود باید درجهی تشکیک آن موضوع را معلوم کند و در بسیاری از موارد معلوم کند که این سیگار کشیدن آیا در آن مرتبه هست یا نه. (چرا که عرف توان چنین انطباقی را ندارد.)
در این موارد فقیه باید با توسل به علم روز بتواند آن موضوع را به دقت با تمام مراتب آن بشناسد. (و یا در شناختن موضوع، به کارشناس مراجعه نماید.)
پنج و شش) گاه می شود که فقیه موضوعی را به عنوان حکم شرعی کشف میکند ولی آن را از یک دلیل خاص به دست نیاورده است بلکه آن را از مجموعه ای از ادله کشف کرده است. مثلاً اگر فقیه می گوید: «کافر نجس است» در این صورت این عنوان را از دلیل خاص به دست نیاورده است و در عین حال این عنوان مصداق عنوان کلی دیگری هم نیست.
درک چنین دسته از قضایایی معمولاً از فقیهی برمیآید که احاطه کامل به ابواب فقه داشته باشد و علاوه بر آن بر مبانی علمی که آن موضوع در آن شناسایی می شود واقف باشد.
مثلاً اگر فقیهی میخواهد بگوید «مرگ مغزی مرگ نیست و در نتیجه پیوند اعضای کسی که به مرگ مغزی مبتلاست جایز نیست»، محتاج احاطه بر بحث های پزشکی و همچنین احاطه بر مباحث فقه است. (مثال موضوع متواطی)
همچنین اگر فقیه از ادله اصطیاد کرد که «آنچه مُضر دین است، حرام است»، این عنوان اصطیادی است و ضمناً تشکیکی است و ممکن است فقیه آن را در جمیع مراتب جاری نداند.
هفت و هشت) برخی از موضوعات فقهی هستند که فقیه به سبب احاطه بر فقه آنها را به دست می آورد و محکوم به حکم خاصی می کند. ولی نمی تواند برای موضوعی که اصطیاد کرده است، عنوانی خاص را قرار دهد، چراکه هر عنوانی را برای بیان «موضوع» نارسا می داند.
به عنوان مثال اگر فقیهی از ادله استفاده کرد که «بلاد کبیرة» موضوع حکمی خاص است ولی نمی تواند «بلاد کبیرة» را تعریف کند و بگوید آیا شهرهای به هم چسبیده موضوع هستند و یا بزرگی تا چه اندازه است و … .
در این صورت فقیه تنها با اشاره به مصادیق است که می تواند فهم خود را مورد اشاره قرار دهد.
مثال دیگر این بحث، حرمت سلاح های کشتار جمعی است و یا حرمت آنچه باعث زوال اخلاق جامعه می شود.
ما میگوییم:
- با توجه به آنچه گفتیم، می توان مدعی شد که در بسیاری از موضوعات، فقیه باید بتواند نسبت به موضوع شناخت کامل پیدا کند و روشن است که این شناخت جز با دانستن علومی که متکفّل بیان آن موضوع هستند، میسر نمیباشد.
و به همین جهت است که دانستن علومی مانند اقتصاد، سیاست، جامعه شناسی، روانشناسی و .. در حدّی که در تبیین موضوعاتِ مسائل دخیل است، لازم است. (البته نیاز به برخی از این علوم از جهاتی دیگر هم لازم است که به آنها اشاره خواهیم کرد.)
- البته باید توجه داشت که نیاز مجتهد به علوم مختلف در شناختن موضوع، با نیاز مجتهد به علوم دیگر متفاوت است. چرا که در آن علوم، مجتهد نیاز داشت که آن علوم را بداند تا بتواند «از ادله، حکم را دریابد» (و یا بتواند دلیلی را بیابد؛ مثل نیاز به دانستن اقوال فقها) ولی در اینجا، مجتهد برای فتوی دادن و انطباق احکامی که از ادله استفاده کرده است، بر موضوعات جدید، نیازمند دانستن علوم جدید است.